nile-sea.ru
nile-sea.ru

테메노스 리플 (98) 사진

캐나다 실시간 결제 시장 규모, 점유율 및 보고서 분석 2030

미국 부자 박살 낸 주식 개미의 미친 매수 #주식 #주식정보 #주식단타 #주식초보 #주식 #미국주식 #미국 #단타 #게임스톱 #게임스탑  #gme #공매도 #영화 #넷플릭스 #넷플릭스영화 #틱톡뉴스 #스브스뉴스 #뉴스

오즈발드한테 사탕 주는 스로네 - 옥토패스 트래블러 마이너 갤러리

콜로라도주 경관 열차 여행 및 유서 깊은 철도 모험 | Visit The USA

테러가이스트 렌즈삽입 - 미니어처게임 마이너 갤러리

📊 구글의 주식 포트폴리오 총 운용자산: 약 3조 3,600억 원 ($2.4B) 구글이 투자하고 있는 12개 기업의 포트폴리오는  뭘까요? TOP 3 투자 기업 🥇 에이에스티 스페이스모바일 (ASTS) 18.22% → 약 6,122억 원 🥈 플래닛

2025년 계좌 없이 경제적 자유는 불가능하다 | TikTok

스퀘어에닉스 이스토어에서 산 옥패2 굿즈들 - 옥토패스 트래블러 마이너 갤러리

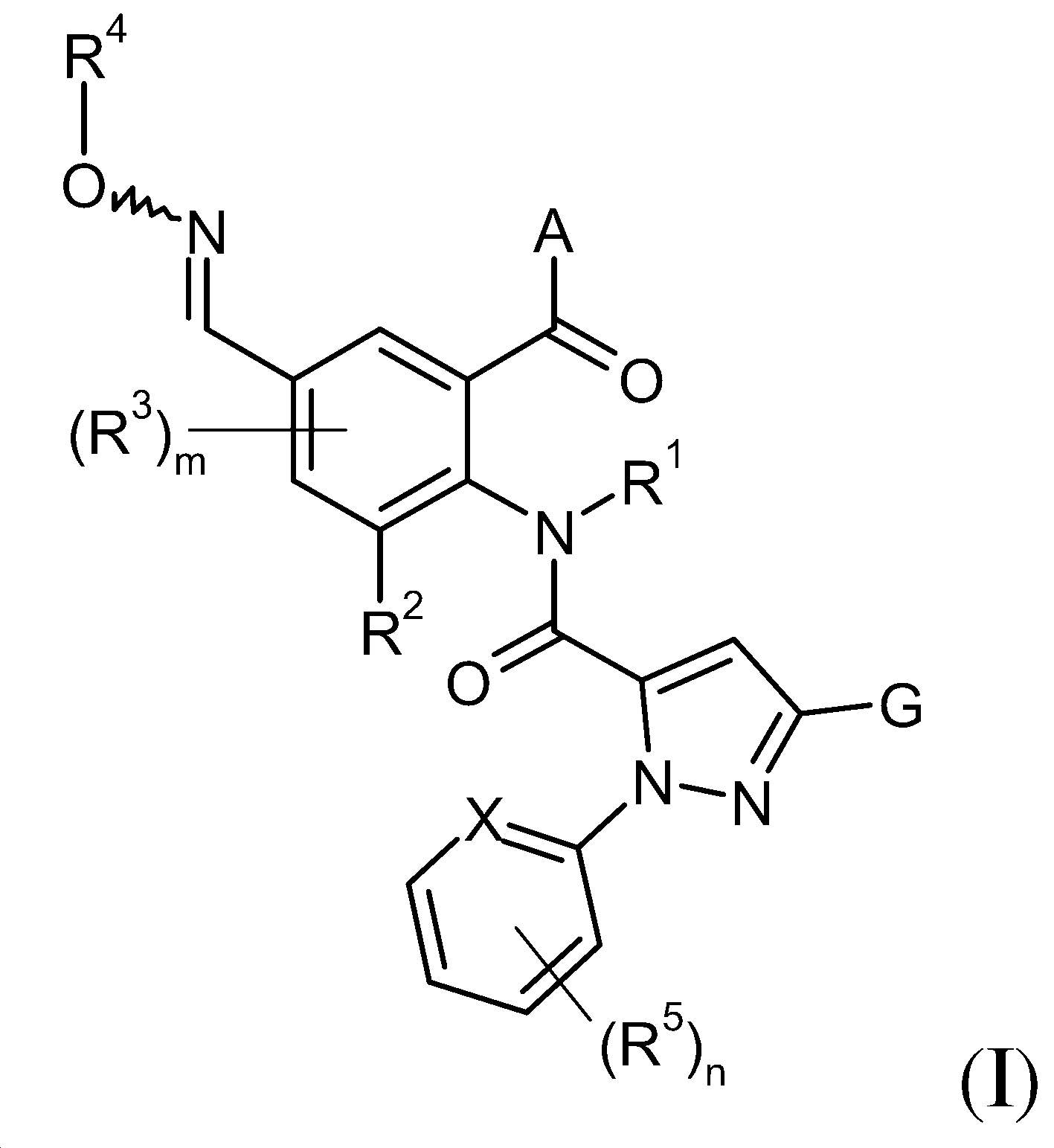
KR20130093086A - 농약으로서의 안트라닐산 디아미드 유도체 - Google Patents

뻘글) 내 기준 일섭 캐릭터 티어 - 옥토패스 대륙의 패자 마이너 갤러리

옥토패스 트래블러 대륙의 패자 - 나무위키

일러 진짜 오지긴 하다 - 옥토패스 트래블러 마이너 갤러리

무희 exp 100배 진짜 드럽게 안 뜨네 - 옥토패스 트래블러 마이너 갤러리

📊 구글의 주식 포트폴리오 총 운용자산: 약 3조 3,600억 원 ($2.4B) 구글이 투자하고 있는 12개 기업의 포트폴리오는  뭘까요? TOP 3 투자 기업 🥇 에이에스티 스페이스모바일 (ASTS) 18.22% → 약 6,122억 원 🥈 플래닛

📊 구글의 주식 포트폴리오 총 운용자산: 약 3조 3,600억 원 ($2.4B) 구글이 투자하고 있는 12개 기업의 포트폴리오는  뭘까요? TOP 3 투자 기업 🥇 에이에스티 스페이스모바일 (ASTS) 18.22% → 약 6,122억 원 🥈 플래닛

옥토패스 트래블러 대륙의 패자 - 나무위키

플레시 이터 코트 신모델 - 미니어처게임 마이너 갤러리

레벨업 잘되는 구간 어디잇음??? - 옥토패스 트래블러 마이너 갤러리

해외선물 승리법! 이걸 익히셔야 됩니다 #해외주식 #트레이딩팩토리 #영트모 #주린이 #나스닥전망 #리스크관리 #해선 #투자 #... |  TikTok

스키티아의 침략자 1인플 후기 - 보드게임 채널

알파투자일지 D+14 복리 파수꾼, 오늘의 기록. 📈 1. 오늘의 투자 포커스: #GOOGL (구글, 알파벳) • 매수 종목:  GOOGL (전 세계 정보의 관문) • 매수 날짜: 25.12.10 • 투자 철학: ”전 세계인이 궁금한

브로드히스에서 가장 멋진 ‪12‬개의 천연기념물 | Komoot

옥토패스 트래블러 대륙의 패자 - 나무위키

올드월드 브레토니아 배틀 스탠다드 베어러 온풋 모델 - 미니어처게임 마이너 갤러리

리플 XRP, 투기 자산 넘어 글로벌 금융 인프라 핵심 부상 - 글로벌이코노믹

겜8 티어표 변동 - 옥토패스 대륙의 패자 마이너 갤러리

AFK 탭조이 무통 보상 거절, 콘분위 민원 접수 결과 - 옥토패스 대륙의 패자 마이너 갤러리

옥패2 히든보스 8분컷 영상 - 옥토패스 트래블러 마이너 갤러리

KR20160072216A - 카르복사미드 화합물을 포함하는 농학적 혼합물 - Google Patents

3.5주년환경 최강캐릭터 10선 - 옥토패스 대륙의 패자 마이너 갤러리

네크로문다에서 무슨 일이 벌어지고 있는가? - 블랙라이브러리 마이너 갤러리

스포) 히든보스 5분컷? 클리어 영상 - 옥토패스 트래블러 마이너 갤러리

한국 성우들이 옥패2 더빙하는 영상 - 옥토패스 트래블러 마이너 갤러리

파이크스 피크 지역에서만 경험할 수 있는 특별한 콜로라도스프링스 모험 | Visit The USA

대만섭 히카리ex 포함 신관팟 실 사용 - 옥토패스 대륙의 패자 마이너 갤러리

리스크 에너미 (솔리스티아/외형의 사재) 3턴 클리어 영상 - 옥토패스 대륙의 패자 마이너 갤러리

스키티아의 침략자 1인플 후기 - 보드게임 채널

미국주식, 아직 커뮤니티만 보니? 🤔 진짜 도움된 책 4권 가져왔다! 📚🔥 1️⃣ 소수몽키 - 재무제표 몰라도 OK ... |  TikTok

브로드히스에서 가장 멋진 ‪12‬개의 천연기념물 | Komoot

일러 진짜 오지긴 하다 - 옥토패스 트래블러 마이너 갤러리

테메노스에 대해 알아보자 - 옥토패스 대륙의 패자 마이너 갤러리

알파투자일지 D+14 복리 파수꾼, 오늘의 기록. 📈 1. 오늘의 투자 포커스: #GOOGL (구글, 알파벳) • 매수 종목:  GOOGL (전 세계 정보의 관문) • 매수 날짜: 25.12.10 • 투자 철학: ”전 세계인이 궁금한

스퀘어에닉스 이스토어에서 산 옥패2 굿즈들 - 옥토패스 트래블러 마이너 갤러리

📊 구글의 주식 포트폴리오 총 운용자산: 약 3조 3,600억 원 ($2.4B) 구글이 투자하고 있는 12개 기업의 포트폴리오는  뭘까요? TOP 3 투자 기업 🥇 에이에스티 스페이스모바일 (ASTS) 18.22% → 약 6,122억 원 🥈 플래닛

인디애나주 인디애나폴리스: 현지인이 전하는 인디애나폴리스 500 자동차 레이스 가이드

매우 쉬운 황무지 베이싱 팁 - 미니어처게임 마이너 갤러리

일섭) 카게무네 ex3 2턴 - 옥토패스 대륙의 패자 마이너 갤러리

99999 데미지 가능한 12가지 기술 - 옥토패스 트래블러 마이너 갤러리

모든 길드 위치 공략 - 옥토패스 트래블러 마이너 갤러리

님들 수직동기화 꺼야함? 켜야함? - 옥토패스 트래블러 마이너 갤러리

게이 내용?! : r/octopathtraveler

매우 쉬운 황무지 베이싱 팁 - 미니어처게임 마이너 갤러리

상태 이상 아이콘을 알아두세요! (게임 내 튜토리얼 섹션에서 찾을 수 있어요) : r/octopathtraveler

KR20090064466A - 현탁 농축물 - Google Patents

옥토패스 트래블러 대륙의 패자 - 나무위키

헤븐리 샤인 + 알레판의 지혜 + 맥스 부스트 + 풀 스 = 보스전 슝슝 날아다니기 : r/octopathtraveler

글로리아에 대해 알아보자 - 옥토패스 대륙의 패자 마이너 갤러리

KR20150126889A - 농약으로서의 알콕스이미노-치환된 안트라닐산 디아미드 - Google Patents

대만섭 히카리ex 포함 신관팟 실 사용 - 옥토패스 대륙의 패자 마이너 갤러리

일본 폐과금 유저의 현 캐릭터 티어 - 옥토패스 대륙의 패자 마이너 갤러리

로즈마리]캐릭터별 추천 직업과 역할 - 옥토패스 트래블러 마이너 갤러리

일러 진짜 오지긴 하다 - 옥토패스 트래블러 마이너 갤러리

옥토패스 트래블러 대륙의 패자 - 나무위키

AFK 탭조이 무통 보상 거절, 콘분위 민원 접수 결과 - 옥토패스 대륙의 패자 마이너 갤러리

알파투자일지 D+14 복리 파수꾼, 오늘의 기록. 📈 1. 오늘의 투자 포커스: #GOOGL (구글, 알파벳) • 매수 종목:  GOOGL (전 세계 정보의 관문) • 매수 날짜: 25.12.10 • 투자 철학: ”전 세계인이 궁금한

스키티아의 침략자 1인플 후기 - 보드게임 채널

오즈발드 딜 좋대도 안 믿노 (영상 올림) - 옥토패스 트래블러 마이너 갤러리

1 최종보스 갈데라 클리어 영상 올려봅니다. - 옥토패스 트래블러 마이너 갤러리

사우스캐롤라이나주 머틀 비치 | 즐길 거리 | VisitTheUSA

KR20150040280A - 살충 테르펜 혼합물 및 살곤충제를 포함하는 조성물 - Google Patents

무기 맞추는거 존나 힘드네 - 옥토패스 대륙의 패자 마이너 갤러리

아그네아 열광 관리 팁 - 옥토패스 대륙의 패자 마이너 갤러리

역대급 호재가 예상되는 테메노스 T24 리플넷 상용화 : 네이버 블로그

알파투자일지 D+14 복리 파수꾼, 오늘의 기록. 📈 1. 오늘의 투자 포커스: #GOOGL (구글, 알파벳) • 매수 종목:  GOOGL (전 세계 정보의 관문) • 매수 날짜: 25.12.10 • 투자 철학: ”전 세계인이 궁금한

스키티아의 침략자 1인플 후기 - 보드게임 채널

다 깨고 갤 글 보는데 이 내용 맞음? - 옥토패스 트래블러 마이너 갤러리

리비, 트로이, 유레카: 몬태나주 북서부의 아웃도어 관문

서브 스토리 돌이킬 수 없는 요소 이거 뭐임?? - 옥토패스 트래블러 마이너 갤러리

그래서... 이건 마지막 보스한테 딱 맞는 상황은 아니네 : r/octopathtraveler

일러 진짜 오지긴 하다 - 옥토패스 트래블러 마이너 갤러리

KR20150040280A - 살충 테르펜 혼합물 및 살곤충제를 포함하는 조성물 - Google Patents

옥토패스 트래블러 대륙의 패자 - 나무위키

옥토패스 트래블러

이거 오류인가여?? - 옥토패스 트래블러 마이너 갤러리

📊 구글의 주식 포트폴리오 총 운용자산: 약 3조 3,600억 원 ($2.4B) 구글이 투자하고 있는 12개 기업의 포트폴리오는  뭘까요? TOP 3 투자 기업 🥇 에이에스티 스페이스모바일 (ASTS) 18.22% → 약 6,122억 원 🥈 플래닛

스키티아의 침략자 1인플 후기 - 보드게임 채널

테메노스에 대해 알아보자 - 옥토패스 대륙의 패자 마이너 갤러리

미국 부자 박살 낸 주식 개미의 미친 매수 #주식 #주식정보 #주식단타 #주식초보 #주식 #미국주식 #미국 #단타 #게임스톱... |  TikTok

KR20120073215A - 프테리딘 및 그의 농약으로서의 용도 - Google Patents

사잔 시그나 가이드(참조 발췌) - 옥토패스 대륙의 패자 마이너 갤러리

📊 구글의 주식 포트폴리오 총 운용자산: 약 3조 3,600억 원 ($2.4B) 구글이 투자하고 있는 12개 기업의 포트폴리오는  뭘까요? TOP 3 투자 기업 🥇 에이에스티 스페이스모바일 (ASTS) 18.22% → 약 6,122억 원 🥈 플래닛

AFK 탭조이 무통 보상 거절, 콘분위 민원 접수 결과 - 옥토패스 대륙의 패자 마이너 갤러리

스퀘어에닉스 이스토어에서 산 옥패2 굿즈들 - 옥토패스 트래블러 마이너 갤러리

알프릭에서 가장 멋진 ‪20‬개의 천연기념물 | Komoot

옥토패스 트래블러 대륙의 패자 - 나무위키

KR20210151912A - 살충제로서의 신규 헤테로아릴-치환된 아미노알킬 아졸 화합물 - Google Patents

테메노스에 대해 알아보자 - 옥토패스 대륙의 패자 마이너 갤러리

29 январь 0 0
2023 copyright text.